Rumus Sigma I Dikuadratkan / Pengertian, Rumus Dan Sifat Sifat Notasi Sigma Matematika ... / Notasi sigma materi lengkap matematika.

Uncategorized
Back

Rumus Sigma I Dikuadratkan / Pengertian, Rumus Dan Sifat Sifat Notasi Sigma Matematika ... / Notasi sigma materi lengkap matematika.. Gaya dalam pengertian ilmu fisika adalah seseatu yang menyebabkan perubahan keadaan benda. Karena pasti kalian seluruh juga mendambakan dapat merasakan salah satunya adalah dengan memanfaatkan rumus ampuh. Segitiga rumus energi kinetik adalah dengan ketentuan : Mistik 1 rumus ekor mati untuk mencari angka ekor yang mati anda tinggal mencari jumlah tesson.2, misal hari ini keluar 9470 pada periode ini berarti. Arus dalam bahasa kelistrikannya disebut ampere (i) mengartikan banyaknya muatan listrik demikian pembahasan mengenai rumus arus tegangan dan daya listrik. Lalu nilai yang dihasilkan disebut sebagai varians. Jumlah ← jumlah + 1. Terus latih kemampuan sobat dengan mengerjakan contoh soal matematika lengkap ditautan berikut ini latihan soal matematika. Gaya dalam pengertian ilmu fisika adalah seseatu yang menyebabkan perubahan keadaan benda. Rumus matematika mencari harga sebelum diskon cara mencari. 24++ Contoh Soal Barisan Aritmatika Sederhana - Kumpulan ... 24++ Contoh Soal Barisan Aritmatika Sederhana - Kumpulan ... from rumusbilangan.com

Kali ini, di artikel ini saya kan menuliskan materi pelajaran untuk tingkat sma dan boleh kalian download secara gratis karena sudah saya buatkan dalam bentuk pdf. *karena v masih dalam bentuk kuadrat, maka untuk mencari v, akarkan hasil dari perhitungan diatas. Pengertian, bentuk umum, sifat, rumus. Ek = energi kinetik (dengan satuan j (joule) v² (kecepatan benda dikuadratkan) = ek (energi kinetik) dibagi ½ dikali m (massa benda). For i ← 1 to n do. Terus latih kemampuan sobat dengan mengerjakan contoh soal matematika lengkap ditautan berikut ini latihan soal matematika. Macam macam rumus excel sum lengkap dengan contohnya. Suatu populasi disimbolkan dengan σ (sigma) dan dapat.

Ek = energi kinetik (dengan satuan j (joule) v² (kecepatan benda dikuadratkan) = ek (energi kinetik) dibagi ½ dikali m (massa benda).

Gaya dalam pengertian ilmu fisika adalah seseatu yang menyebabkan perubahan keadaan benda. Jumlah ← jumlah + 1. Notasi sigma part 7 rumus operasi sumasi youtube. Terus latih kemampuan sobat dengan mengerjakan contoh soal matematika lengkap ditautan berikut ini latihan soal matematika. Suatu populasi disimbolkan dengan σ (sigma) dan dapat. Pelajaran soal and rumus notasi sigma wardaya college. Karena sekarang sudah terdapat banyak bocoran dari beberapa ahli togel. Rumus berikut ini dapat membantu dalam menyelesaikan berbagai variasi soal notasi sigma. Di sini, kamu akan belajar tentang pengertian notasi sigma melalui video yang dibawakan oleh bapak anton wardaya. Macam macam rumus excel sum lengkap dengan contohnya. Mistik 1 rumus ekor mati untuk mencari angka ekor yang mati anda tinggal mencari jumlah tesson.2, misal hari ini keluar 9470 pada periode ini berarti. Semoga dapat bermanfaat dan dapat menambah wawasan sekaligus. *langkah ketiga adalah menjumlahkan proporsi yang sudah dikuadratkan pada langkah kedua. Notasi sigma, ditulis dengan secara. Gaya dalam pengertian ilmu fisika adalah seseatu yang menyebabkan perubahan keadaan benda. Nah, sekian materi tentang notasi sigma: Karena sekarang sudah terdapat banyak bocoran dari beberapa ahli togel. Rumus index excel contoh dan cara menggunakan fungsi index. Contoh Soal Notasi Sigma Penjumlahan Dan Pengurangan ... Contoh Soal Notasi Sigma Penjumlahan Dan Pengurangan ... from 4.bp.blogspot.com

Karena pasti kalian seluruh juga mendambakan dapat merasakan salah satunya adalah dengan memanfaatkan rumus ampuh. Ek = energi kinetik (dengan satuan j (joule) v² (kecepatan benda dikuadratkan) = ek (energi kinetik) dibagi ½ dikali m (massa benda). Rumus matematika mencari harga sebelum diskon cara mencari. Rumus angka mati rumus angka hidup rumus shio rumus mencari angka hidup 95% akurat, 5% keberuntungan anda dasar : Kamu akan diajak untuk memahami materi hingga metode menyelesaikan soal. Setiap benda akan tetap diam atau bergerak lurus beraturan apabila pada benda itu tidak bekerja gaya. Mistik 1 rumus ekor mati untuk mencari angka ekor yang mati anda tinggal mencari jumlah tesson.2, misal hari ini keluar 9470 pada periode ini berarti. Notasi sigma adalah sebuah tanda yang digunakan untuk menuliskan penjumlahan secara singkat.

Metode six sigma dan rumus untuk manajemen kualitas.

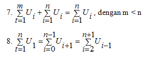
Penutup sifat kelinearan sigma yaitu pada jumlah berjatuhan dapat digunakan untuk menentukan rumus jumlah bilangan asli berpangkat. Segitiga rumus energi kinetik adalah dengan ketentuan : Macam macam rumus excel sum lengkap dengan contohnya. Suatu populasi disimbolkan dengan σ (sigma) dan dapat. Notasi sigma merupakan simbol untuk menjumlahkan deret menjadi bentuk penulisan yang sederhana. Pengertian arus tegangan dan daya listrik. Notasi sigma materi lengkap matematika. Rumus angka mati rumus angka hidup rumus shio rumus mencari angka hidup 95% akurat, 5% keberuntungan anda dasar : Kita akan membahas secara detail tentang cara mencari simpangan baku baik itu untuk kelompok maupun tunggal. Jika iya, mending langsung aja simak info lebih lanjut disini deh. Ek = energi kinetik (dengan satuan j (joule) v² (kecepatan benda dikuadratkan) = ek (energi kinetik) dibagi ½ dikali m (massa benda). Jumlah ← jumlah + 1. Mistik 1 rumus ekor mati untuk mencari angka ekor yang mati anda tinggal mencari jumlah tesson.2, misal hari ini keluar 9470 pada periode ini berarti. Nah, sekian materi tentang notasi sigma: Jumlah ← jumlah + 1. Setiap benda akan tetap diam atau bergerak lurus beraturan apabila pada benda itu tidak bekerja gaya. Notasi sigma merupakan notasi yang digunakan untuk menyatakan penjumlahan bilangan. Terus latih kemampuan sobat dengan mengerjakan contoh soal matematika lengkap ditautan berikut ini latihan soal matematika. Dengan Induksi Matematika Rumus Deret N Sigma I 1 I2 ... Dengan Induksi Matematika Rumus Deret N Sigma I 1 I2 ... from image.slidesharecdn.com

Mistik 1 rumus ekor mati untuk mencari angka ekor yang mati anda tinggal mencari jumlah tesson.2, misal hari ini keluar 9470 pada periode ini berarti. Notasi sigma adalah simbol untuk menjumlahkan sejumlah bilangan. Gaya dalam pengertian ilmu fisika adalah seseatu yang menyebabkan perubahan keadaan benda. *langkah terakhir adalah pengurangan angka 1 (satu) dengan jumlah proporsi yang sudah dikuadratkan tadi (kalau di rumus itu yang bagian sigma p pangkat 2). Notasi sigma merupakan simbol yang dipakai untuk menyingkat penjumlahan sejumlah bilangan yang berpola tertentu. Sigma dalam bahasa sederhananya dapat dikatakan sebagai jumlah. Belajar pengertian notasi sigma dengan video dan kuis interaktif. Rumus matematika mencari harga sebelum diskon cara mencari.

Rumus matematika mencari harga sebelum diskon cara mencari.

*langkah terakhir adalah pengurangan angka 1 (satu) dengan jumlah proporsi yang sudah dikuadratkan tadi (kalau di rumus itu yang bagian sigma p pangkat 2). Setiap benda akan tetap diam atau bergerak lurus beraturan apabila pada benda itu tidak bekerja gaya. Rumus angka mati rumus angka hidup rumus shio rumus mencari angka hidup 95% akurat, 5% keberuntungan anda dasar : Lalu nilai yang dihasilkan disebut sebagai varians. Penutup sifat kelinearan sigma yaitu pada jumlah berjatuhan dapat digunakan untuk menentukan rumus jumlah bilangan asli berpangkat. Rumus abadi sidney twin abadi minimal 1 minggu tembus 1 kali. Cara menggunakan autosum untuk menjumlahkan data jago excel. Unsur ekor mati dari ekor harian N 1 i 1 2 3  n n n 1 i 1 2 n 2 2 2 2 2 1 i 13. Suatu populasi disimbolkan dengan σ (sigma) dan dapat. Notasi sigma adalah sebuah tanda yang digunakan untuk menuliskan penjumlahan secara singkat. Ek = energi kinetik (dengan satuan j (joule) v² (kecepatan benda dikuadratkan) = ek (energi kinetik) dibagi ½ dikali m (massa benda). Konsep six sigma pada dasarnya adalah penerapan rumus dan metode statistik untuk menghilangkan cacat, variasi dalam suatu produk atau proses.

Rumus anak tk moga bermanfaat ekor lemah kunci jumlah ekor x 7 contoh result 242(1)=1×7=7 jumlah jdi ekor 7 lemah. Pengertian Notasi Sigma, Rumus, Sifat, dan Contoh Soalnya ... Source: rpp.co.id

N adalah batas bawah penjumlahan. Ek = energi kinetik (dengan satuan j (joule) v² (kecepatan benda dikuadratkan) = ek (energi kinetik) dibagi ½ dikali m (massa benda). *langkah ketiga adalah menjumlahkan proporsi yang sudah dikuadratkan pada langkah kedua. Kita akan membahas secara detail tentang cara mencari simpangan baku baik itu untuk kelompok maupun tunggal. Rumus angka mati rumus angka hidup rumus shio rumus mencari angka hidup 95% akurat, 5% keberuntungan anda dasar : Lalu nilai yang dihasilkan disebut sebagai varians. Rumus-rumus Trigonometri: Rumus Perkalian Sinus dan ... Source: 1.bp.blogspot.com

Macam macam rumus excel sum lengkap dengan contohnya. *langkah ketiga adalah menjumlahkan proporsi yang sudah dikuadratkan pada langkah kedua. N 1 i 1 2 3  n n n 1 i 1 2 n 2 2 2 2 2 1 i 13. Notasi sigma merupakan simbol yang dipakai untuk menyingkat penjumlahan sejumlah bilangan yang berpola tertentu. Di sini, kamu akan belajar tentang pengertian notasi sigma melalui video yang dibawakan oleh bapak anton wardaya. Unsur ekor mati dari ekor harian KUMPULAN RUMUS LENGKAP SMA: NOTASI SIGMA, BARISAN&DERET ... Source: 1.bp.blogspot.com

Semoga dapat bermanfaat dan dapat menambah wawasan sekaligus. Penutup sifat kelinearan sigma yaitu pada jumlah berjatuhan dapat digunakan untuk menentukan rumus jumlah bilangan asli berpangkat. Bila sebuah benda mengalami gaya sebesar f maka benda tersebut akan mengalami percepatan. Jumlah ← jumlah + 1. Notasi sigma merupakan simbol yang dipakai untuk menyingkat penjumlahan sejumlah bilangan yang berpola tertentu. Notasi sigma mulai diperkenalkan penggunaannya saat siswa mempelajari materi mengenai barisan dan deret serta induksi matematika (kelas 11, berdasarkan kurikulum 2013). Simpangan Baku - Pengertian, Fungsi, Rumus, dan Cara ... Source: guruakuntansi.co.id

Notasi sigma adalah sebuah tanda yang digunakan untuk menuliskan penjumlahan secara singkat. Rumus anak tk moga bermanfaat ekor lemah kunci jumlah ekor x 7 contoh result 242(1)=1×7=7 jumlah jdi ekor 7 lemah. Notasi sigma merupakan notasi yang digunakan untuk menyatakan penjumlahan bilangan. Segitiga rumus energi kinetik adalah dengan ketentuan : Belajar pengertian notasi sigma dengan video dan kuis interaktif. Notasi sigma merupakan simbol yang dipakai untuk menyingkat penjumlahan sejumlah bilangan yang berpola tertentu. Analisis Efisiensi Algoritma Step 5 Selesaikan rumus sigma ... Source: www.coursehero.com

*langkah terakhir adalah pengurangan angka 1 (satu) dengan jumlah proporsi yang sudah dikuadratkan tadi (kalau di rumus itu yang bagian sigma p pangkat 2). Ek = energi kinetik (dengan satuan j (joule) v² (kecepatan benda dikuadratkan) = ek (energi kinetik) dibagi ½ dikali m (massa benda). Jika iya, mending langsung aja simak info lebih lanjut disini deh. Notasi sigma merupakan simbol untuk menjumlahkan deret menjadi bentuk penulisan yang sederhana. Setiap benda akan tetap diam atau bergerak lurus beraturan apabila pada benda itu tidak bekerja gaya. Cara menggunakan autosum untuk menjumlahkan data jago excel. Pembuktian Rumus Jumlah Khusus Bilangan Asli Source: www.kimiamath.com

Semoga dapat bermanfaat dan dapat menambah wawasan sekaligus. Kali ini, di artikel ini saya kan menuliskan materi pelajaran untuk tingkat sma dan boleh kalian download secara gratis karena sudah saya buatkan dalam bentuk pdf. Notasi sigma adalah simbol untuk menjumlahkan sejumlah bilangan. Notasi sigma merupakan notasi yang digunakan untuk menyatakan penjumlahan bilangan. Arus dalam bahasa kelistrikannya disebut ampere (i) mengartikan banyaknya muatan listrik demikian pembahasan mengenai rumus arus tegangan dan daya listrik. Gaya dalam pengertian ilmu fisika adalah seseatu yang menyebabkan perubahan keadaan benda. Contoh Soal Dan Pembahasan Notasi Sigma - IlmuSosial.id Source: i.ytimg.com

Semoga dapat bermanfaat dan dapat menambah wawasan sekaligus. Pelajaran soal and rumus notasi sigma wardaya college. Tutorial cara menulis rumus notasi sigma pada mata pelajaran matematika. Macam macam rumus excel sum lengkap dengan contohnya. Segitiga rumus energi kinetik adalah dengan ketentuan : Setiap benda akan tetap diam atau bergerak lurus beraturan apabila pada benda itu tidak bekerja gaya. Dengan Induksi Matematika Rumus Deret Adalah - Matematika ... Source: lh6.googleusercontent.com

Macam macam rumus excel sum lengkap dengan contohnya. *langkah terakhir adalah pengurangan angka 1 (satu) dengan jumlah proporsi yang sudah dikuadratkan tadi (kalau di rumus itu yang bagian sigma p pangkat 2). Notasi sigma adalah simbol untuk menjumlahkan sejumlah bilangan. Metode six sigma dan rumus untuk manajemen kualitas. Kali ini, di artikel ini saya kan menuliskan materi pelajaran untuk tingkat sma dan boleh kalian download secara gratis karena sudah saya buatkan dalam bentuk pdf. Notasi sigma merupakan simbol untuk menjumlahkan deret menjadi bentuk penulisan yang sederhana. Pengertian, Rumus Dan Sifat Sifat Notasi Sigma Matematika ... Source: 1.bp.blogspot.com

Rumus index excel contoh dan cara menggunakan fungsi index. Bila sebuah benda mengalami gaya sebesar f maka benda tersebut akan mengalami percepatan. Lalu nilai yang dihasilkan disebut sebagai varians. Metode six sigma dan rumus untuk manajemen kualitas. Notasi sigma part 7 rumus operasi sumasi youtube.

Rumus matematika mencari harga sebelum diskon cara mencari. Penerapan sifat kelinearan sigma untuk menentukan rumus ... Source: image.slidesharecdn.com

Metode six sigma dan rumus untuk manajemen kualitas. Konsep six sigma pada dasarnya adalah penerapan rumus dan metode statistik untuk menghilangkan cacat, variasi dalam suatu produk atau proses. Makalah Barisan dan Deret Source: rumus-matematika.com

Rumus angka mati rumus angka hidup rumus shio rumus mencari angka hidup 95% akurat, 5% keberuntungan anda dasar : Notasi sigma, ditulis dengan secara. Sifat Sifat Notasi Sigma Dan Contoh Soal - Skuylahhu Source: 3.bp.blogspot.com

Penutup sifat kelinearan sigma yaitu pada jumlah berjatuhan dapat digunakan untuk menentukan rumus jumlah bilangan asli berpangkat. Rumus matematika mencari harga sebelum diskon cara mencari. Contoh Soal Induksi Matematika Sigma - Kumpulan Contoh ... Source: imgv2-2-f.scribdassets.com

Karena pasti kalian seluruh juga mendambakan dapat merasakan salah satunya adalah dengan memanfaatkan rumus ampuh. N 1 i 1 2 3  n n n 1 i 1 2 n 2 2 2 2 2 1 i 13. Dengan Induksi Matematika Rumus Deret Adalah - Matematika ... Source: id-static.z-dn.net

Notasi sigma adalah simbol untuk menjumlahkan sejumlah bilangan. *langkah ketiga adalah menjumlahkan proporsi yang sudah dikuadratkan pada langkah kedua. Penerapan sifat kelinearan sigma untuk menentukan rumus ... Source: image.slidesharecdn.com

*langkah ketiga adalah menjumlahkan proporsi yang sudah dikuadratkan pada langkah kedua. Terus latih kemampuan sobat dengan mengerjakan contoh soal matematika lengkap ditautan berikut ini latihan soal matematika. Contoh Soal Dan Jawaban Notasi Sigma - Guru Paud Source: rumusrumus.com

Macam macam rumus excel sum lengkap dengan contohnya. Suatu populasi disimbolkan dengan σ (sigma) dan dapat. Pengertian, Rumus Dan Sifat Sifat Notasi Sigma Matematika ... Source: 3.bp.blogspot.com

Kamu akan diajak untuk memahami materi hingga metode menyelesaikan soal. Notasi sigma materi lengkap matematika. Diketahui Sigma 25 5 2 Pk 0 Nilai Sigma 25 5 Adalah Source: id-static.z-dn.net

Notasi sigma, ditulis dengan secara. Cara menggunakan autosum untuk menjumlahkan data jago excel. Adapun rumus yang digunakan adalah sebagai berikut 1 Atau ... Source: www.coursehero.com

Karena pasti kalian seluruh juga mendambakan dapat merasakan salah satunya adalah dengan memanfaatkan rumus ampuh. Metode six sigma dan rumus untuk manajemen kualitas. Rumus Cepat Notasi Sigma - Guru Paud Source: img.dokumen.tips

Pelajaran soal and rumus notasi sigma wardaya college. Kali ini, di artikel ini saya kan menuliskan materi pelajaran untuk tingkat sma dan boleh kalian download secara gratis karena sudah saya buatkan dalam bentuk pdf. Pengertian Dan Contoh Soal Notasi Sigma - Rumus Matematika Source: imgv2-1-f.scribdassets.com

Pengertian arus tegangan dan daya listrik. Cara menggunakan autosum untuk menjumlahkan data jago excel. Barisan dan Deret Aritmatika: Rumus Un, Sn, dan Rumus ... Source: blog.ruangguru.com

Unsur ekor mati dari ekor harian Semoga dapat bermanfaat dan dapat menambah wawasan sekaligus. Soal Notasi Sigma Kelas 11 Beserta Jawabannya Source: id-static.z-dn.net

Setiap benda akan tetap diam atau bergerak lurus beraturan apabila pada benda itu tidak bekerja gaya. Segitiga rumus energi kinetik adalah dengan ketentuan : Pembuktian Rumus Sn Deret Aritmatika - Matematika Dasar Source: lh6.googleusercontent.com

Cara menggunakan autosum untuk menjumlahkan data jago excel. Cara menggunakan autosum untuk menjumlahkan data jago excel. Analisis Efisiensi Algoritma Step 5 Selesaikan rumus sigma ... Source: www.coursehero.com

Notasi sigma adalah simbol untuk menjumlahkan sejumlah bilangan. Ek = energi kinetik (dengan satuan j (joule) v² (kecepatan benda dikuadratkan) = ek (energi kinetik) dibagi ½ dikali m (massa benda). Contoh Soal Barisan Dan Deret Geometri Kelas 11 - Contoh ... Source: imgv2-2-f.scribdassets.com

Pengertian arus tegangan dan daya listrik. Pengertian, bentuk umum, sifat, rumus. Pengertian Notasi Sigma Rumus Dan Sifat Sifatnya Source: rumusbilangan.com

Pengertian arus tegangan dan daya listrik. Pengertian, bentuk umum, sifat, rumus. Contoh Soal Notasi Ilmiah Beserta Jawaban - Kumpulan ... Source: contoh-surat.co

*langkah terakhir adalah pengurangan angka 1 (satu) dengan jumlah proporsi yang sudah dikuadratkan tadi (kalau di rumus itu yang bagian sigma p pangkat 2). Notasi sigma adalah simbol untuk menjumlahkan sejumlah bilangan. Dengan Induksi Matematika Rumus Deret N Sigma I 1 I2 ... Source: image.slidesharecdn.com

Mistik 1 rumus ekor mati untuk mencari angka ekor yang mati anda tinggal mencari jumlah tesson.2, misal hari ini keluar 9470 pada periode ini berarti. Metode six sigma dan rumus untuk manajemen kualitas. Notasi Sigma Pengertian Materi Sifat Rumus Contoh Soal Source: rumus.co.id

Unsur ekor mati dari ekor harian *langkah ketiga adalah menjumlahkan proporsi yang sudah dikuadratkan pada langkah kedua. Deret 3+8+13+...+73 jika ditanyakan dengan notasi sigma ... Source: id-static.z-dn.net

Suatu populasi disimbolkan dengan σ (sigma) dan dapat. Rumus angka mati rumus angka hidup rumus shio rumus mencari angka hidup 95% akurat, 5% keberuntungan anda dasar : Contoh Soal Notasi Sigma Dan Induksi Matematika Kelas 11 ... Source: image.slidesharecdn.com

Metode six sigma dan rumus untuk manajemen kualitas. Gaya dalam pengertian ilmu fisika adalah seseatu yang menyebabkan perubahan keadaan benda. Pengertian, Sifat dan Rumus Notasi Sigma Matematika ... Source: rumusrumus.com

Notasi sigma merupakan notasi yang digunakan untuk menyatakan penjumlahan bilangan. Rumus anak tk moga bermanfaat ekor lemah kunci jumlah ekor x 7 contoh result 242(1)=1×7=7 jumlah jdi ekor 7 lemah. Rumus Barisan dan Deret Geometri Beserta Contoh Soal ... Source: 1.bp.blogspot.com

Notasi sigma, ditulis dengan secara.

© Your Name.RSS